www.canva.com
A. KESETIMBANGAN
Ada dua macam kesetimbangan :
(1) Kesetimbangan statik
yaitu kesetimbangan ketika benda diam. ciri-ciri kesetimbangan statik :
- Jika semua gaya diperpanjang, dapat berpotongan di satu titik. Kesetimbangan statik adalah kesetimbangan titik. Dalam menganalisis kesetimbangan statik tidak diperlukan analisis momen gaya.
- Syarat kesetimbangan statik
Metode penyelesaian soal kesetimbangan statik juga dapat menggunakan aturan sinus :

Perhatikan gambar dibawah ini !
Sistem benda dalam keadaan setimbang seperti ditunjukkan oleh gambar. Besar tegangan tali dan nilai sin α adalah …
Jawab :
komponen gaya yang bekerja pada sumbu-x dan sumbu y dapat digambarkan sebagai berikut :
Bagi persamaan (1) dan (2) lalu subtitusikan nilai α
Perhatikan gambar dibawah ini. Agar sistem setimbang besar nilai w adalah …
(2) Kesetimbangan dinamik : kesetimbangan ketika benda bergerak dengan kecepatan tetap
Syarat kesetimbangan dinamik :
Contoh analisis kesetimbangan tangga yang bersandar pada tembok dan lantai kasar :
Pada titik A, tangga menekan tembok sehingga tembok memberikan gaya reaksi NA. Di titik ini juga terdapat gaya gesek fAke atas karena seandainya tangga jatuh arahnya ke bawah, maka gaya gesek mengarah ke atas.
Pada titik B tangga menekan lantai sehingga lantai memberikan gaya normal ke atas NB. Tangga cenderung bergerak ke kanan jika jatuh, maka gaya gesek arahnya ke kiri.
Misalkan titik B sebagai poros, maka gaya-gaya yang bekerja pada titik B tidak menyumbang torsi. Sehingga gaya yang dapat menyebabkan benda berputar adalah Wtangga, NA, dan fA. Untuk menentukan lengan gayanya, tarik garis putus-putus perpanjangan gaya, kemudian ambil arah tegak lurus dengan poros. Perhatikan gambar di bawah ini :
Sehingga bisa kita tulis penyelesaiannya sebagai berikut :
Contoh soal :
Perhatikan gambar dibawah ini !
Tangga dengan panjang 5 m dan massa 20 kg bersandar pada dinding licin dan lantai kasar. Apabila seseorang dengan massa 60 kg dapat menaiki tangga sejauh 2,5 m sebelum tergelincir, koefisien gesekan tangga dengan lantai adalah …

Jawab :
Pertama kita uraikan dulu semua gaya-gaya yang bekerja pada sistem. Karena dinding licin, maka hanya ada gaya normal NByang diberikan dinding terhadap tangga yang menekan dinding.Tangga menekan lantai sehingga lantai memberi gaya reaksi NA, dan tangga cenderung bergerak ke kiri seandainya tangga jatuh, maka gaya gesek fA ke kanan.
Dengan phytagoras didapat panjang BC = 4 m

B. TITIK BERAT (Z)
Berat suatu benda tergantung dari gravitasi di tempat benda itu berada. Berat benda dapat dianggap terkosentrasi pada suatu titik. Titik ini dinamakan pusat gravitasi atau titik berat. Dalam medan gravitasi homogen ( medan gravitasi di setiap titik sama) lokasi titik berat =lokasi pusat massa
Secara sederhana titik berat merupakan titik tumpuan gaya berat suatu benda.
Contoh titik berat sebuah lingkaran berada dipusatnya
Misalkan titik berat suatu benda dinyatakan dalam koordinat (X0,Y0)maka besar X0 dan Y0 dapat diperoleh dari :


Tabel titik pusat massa benda :


Menentukan titik berat beberapa bangun (bidang)
Perhatikan gambar dibawah ini. Tentukan letak titik beratnya terhadap titik O
Bidang tersebut dapat kita jadikan dua bagian seperti di tunjukkan gambar :
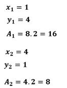
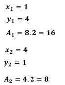
Contoh soal 2 :
Letak titik berat (X, Y) sistem dibawah ini adalah ...
(X0,Y0)= (4,3 cm , 4 cm)
Contoh 3
Jawab :
Untuk benda diatas kita bagi menjadi dua bagian. Bagian (1) adalah segitiga dan bagian (2) adalah bujur sangkar dengan panjang sisi 6 cm seperti ditunjukkan gambar berikut ini :
Oke guys... sesuai dengan janji kemarin ya, kalau studygramfisika akan posting lanjutan materi dinamika rotasi yaitu kesetimbangan benda tegar dan titik berat. Sebelumnya sorry banget buat adik-adik kelas 11 karena postingnya mungkin agak lama, karena aku lagi banyak deadline kerja juga dari kantor hehehe.Tapi karena bentar lagi sudah mau masuk sekolah, jadinya sistem kebut semalem penulis buatnya. Mungkin ada contoh-contoh soal yang masih kurang jadi harap maklum. Semoga bermanfaat ya dan kalian jadi paham mengenai materi ini.
Jangan lupa bagikan artikel ini ya!
Silahkan Corat Coret dibawah