berikut rangkuman materi beserta soal dan pembahasan bab listrik dinamis arus DC sub bab hukum kirchoff 2
Rumus HUKUM KIRCHOFF II
Σε + Σ(I.R) = 0
aplikasi / rumus cepat hukum kirchoff II pada rangkaian dua loop

keterangan:
I = kuat arus (Ampere)
R = hambatan / resistor (ohm atau Ω )
ε = ggl atau tegangan baterai (V)
ka = kanan
ki = kiri
t = tengah
rumus tegangan jepit:
V = Σε + Σ(I.R)
V = tegangan jepit (Volt)
atau:

Contoh soal dan pembahasan
1. perhatikan rangkaian listrik satu loop berikut!

jika R1 = 20 ohm, R2 = 30 ohm, R3 = 50 ohm,
ε₁= 10 V dan ε₂= 40 V
hitung:
a. kuat arus yang mengalir pada rangkaian
b. tegangan jepit antara titik c dan d
pembahasan:
a. mencari arus denga hukum kirchoff 2
Σε + Σ(I.R) = 0
ε₂ + ε₁ + I.(R1 + R2 + R3) = 0
40 + 10 + I (100) = 0
100 I = 50
I = 0,5 A
b. Tegangan antara titik c dan d

> arus mengalir searah jarum jam karena ggl 2 lebih besar dari ggl 1
> arus mengalir dari d ke c
Vcd = Σε + Σ(I.R)
Vcd = - ε₁ + I. R₂
Vcd = - 10 + 0,5 .30 = -10 + 15 = 5 Volt
2. perhatikan rangkaian listrik dinamis dua loop berikut!

jika R1 = 2 ohm, R2= 3 ohm, R3 = 1 ohm, R4 = 4 ohm dan R5 = 1 ohm
ε1 = 10 V , ε2 = 5 V , ε3 = 3 V
Hitung:
a. arus pada R3
b. Tegangan jepit antara a dan b
rumus cepat hukum kirchoff II pada rangkaian 2 loop

a. Cara cepat hukum kirchoff II dua loop
Rki = 2 + 3 = 5 ohm
Rumus HUKUM KIRCHOFF II
Σε + Σ(I.R) = 0
aplikasi / rumus cepat hukum kirchoff II pada rangkaian dua loop
(Ɛka – Ɛki).Rt + (Ɛt – Ɛki ).Rka | |
Iki = | ________________________ |
Rki . Rka + Rki.Rt + Rka . R t |
(Ɛki – Ɛt).Rka + (Ɛka – Ɛt ).Rki | |
It = | ________________________ |
Rki . Rka + Rki.Rt + Rka . R t |
keterangan:
I = kuat arus (Ampere)
R = hambatan / resistor (ohm atau Ω )
ε = ggl atau tegangan baterai (V)
ka = kanan
ki = kiri
t = tengah
rumus tegangan jepit:
V = Σε + Σ(I.R)
V = tegangan jepit (Volt)
atau:

Contoh soal dan pembahasan
1. perhatikan rangkaian listrik satu loop berikut!
jika R1 = 20 ohm, R2 = 30 ohm, R3 = 50 ohm,
ε₁= 10 V dan ε₂= 40 V
hitung:
a. kuat arus yang mengalir pada rangkaian
b. tegangan jepit antara titik c dan d
pembahasan:
a. mencari arus denga hukum kirchoff 2
Σε + Σ(I.R) = 0
ε₂ + ε₁ + I.(R1 + R2 + R3) = 0
40 + 10 + I (100) = 0
100 I = 50
I = 0,5 A
b. Tegangan antara titik c dan d
> arus mengalir searah jarum jam karena ggl 2 lebih besar dari ggl 1
> arus mengalir dari d ke c
Vcd = Σε + Σ(I.R)
Vcd = - ε₁ + I. R₂
Vcd = - 10 + 0,5 .30 = -10 + 15 = 5 Volt
2. perhatikan rangkaian listrik dinamis dua loop berikut!
jika R1 = 2 ohm, R2= 3 ohm, R3 = 1 ohm, R4 = 4 ohm dan R5 = 1 ohm
ε1 = 10 V , ε2 = 5 V , ε3 = 3 V
Hitung:
a. arus pada R3
b. Tegangan jepit antara a dan b
rumus cepat hukum kirchoff II pada rangkaian 2 loop
a. Cara cepat hukum kirchoff II dua loop
(Ɛki – Ɛt)Rka + (Ɛka – Ɛt ) Rki | |
It = | _________________________ |
Rki . Rka + Rki.Rt + Rka . R t |
Rki = 2 + 3 = 5 ohm
Rt = 1 ohm
Rka = 4 + 1 = 5 ohm
It = 1 Ampere
(10 - 5).5 + (3 – 5 ).5 | |
It = | ________________________ |
5.1 + 5.1 + 5.1 |
25 - 10 | |
It = | _______________________ |
15 |
It = 1 Ampere
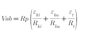
b. Tegangan jepit antara titik a dan b
Vab = Σε + Σ(Ι.R)
Vab = 5 + 1.1 =5 + 1 = 6 Volt
Silahkan Corat Coret dibawah